高山峯夫のホームページ
免震構造に関する研究 建築構造物の振動問題に関する研究 4menshin.net
トップページ
最新情報
略歴
記事
入門編
実践編
リンク集
お問い合わせ
記事
設計者のための免震入門(9)免震建物の地震応答特性
 
 
免震構造の固有周期
 図5に示すように上部構造を1質点系モデルとし、それに免震層を加えた2自由度系振動モデルを考える。この振動モデルの固有周期と振動モードを求める。
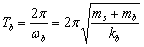
上部構造を剛体とした時の免震層の周期(等価周期) Tb は、免震層の等価剛性を Kb 、1階部分の質量を mb として
(1)
で表せる。上部構造のみの周期 Ts は、上部構造の剛性と質量を Ksms として

(2)

となる。
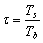
 ここで、上部構造の周期と免震周期の比 、及び質量比 を次式で定義する。
これらのパラメータを用いれば、2自由度系の振動数方程式は
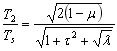
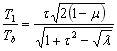
となり、これを解くことで1次固有周期 と2次固有周期 が次のように求められる。

(3)

ここで、
文献1)では上で示した厳密解に対して、 という条件の下に近似解を次のように算出している。

(4)

 2自由度系モデルの固有周期の変化を厳密解と近似解について比較したのが図6である。質量比 µ が大きくなるに従い、1次固有周期は免震周期 Tb よりも若干大きくなり、2次固有周期は上部構造の周期 Ts より短くなっている。同図より、 τ が0.5より小さい範囲では、近似解と厳密解はほぼ同様の結果を示すことがわかる。
 図7には近似解を用いて算出された固有モードを示す。1次モードにおいて、2層目の応答を小さくするためには、 τ を小さくすることが有効であることが分かる。 τ が小さいほど上部構造は剛体に近づき、免震構造の理想の振動モードとなる。 TsTb に近づけば、上部構造の層間変形が大きくなり、フロアレスポンスへの上部構造の振動特性の影響が無視できなくなる。免震構造設計指針の解説編では免震層の初期剛性に着目した比率 bs により同様な指標を与えている。文献2)では、 τ の逆数(=1/ τ )をIsolation Ratio(免震係数)と呼んでおり、固有振動モードや応答結果の検討から、この値が2以下であれば免震効果は期待できるとしている。





BACK 1 / 2 / 3 / 4
NEXT



copyright 2004 (c) Fukuoka Univarsary Takayama Mineo All right reserved.