高山峯夫のホームページ
免震構造に関する研究 建築構造物の振動問題に関する研究 4menshin.net
トップページ
最新情報
略歴
記事
入門編
実践編
リンク集
お問い合わせ
記事
設計者のための免震入門(4) 積層ゴムの構造と特徴
 
 
引張剛性
 積層ゴムが引張を受ける場合、積層ゴム内部は負圧状態となり、ゴム層内部にボイド(損傷)が発生する。引張ひずみが非常に微少でゴムにボイドが生じない変形域での引張剛性は圧縮剛性に等しいと考えられる。しかし、小さな引張変形域からボイドが発生しているため、引張剛性に関する理論式は導かれていない。引張試験などから求められる引張剛性(等価剛性)は圧縮剛性に比べて1/5〜1/10程度となっている。引張剛性はせん断変形の大きさにはあまり影響を受けないが、大きな引張ひずみを経験した場合、引張剛性は低下している5)。引張剛性については積層ゴムの取付方法やフランジの寸法などにも影響されるため、設計で使用する積層ゴムの試験結果に基づいて適切に評価することが必要である。特に、積層ゴムの直径が大きい場合には、取り付け部の面外剛性の影響が大きくなるため、実大試験による評価は欠かせない。


水平剛性
 積層ゴムの水平剛性 は弾性体に水平力と圧縮力が作用する場合の座屈問題の解(Haringx理論)に基づいて求められる。Haringxが防振用のゴムロッドや螺旋状のスチールバネの特性を研究した成果を、Gentらが積層ゴムの水平剛性や座屈荷重の評価へ適用したのが最初である。
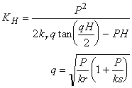
 理論の適用にあたって、積層ゴムはゴム層と鋼板の積層構造であるので、これを等価な曲げせん断棒に置換する。曲げせん断棒の上下端は回転を拘束し、上端に水平変形を与えた時の力の釣り合いと変形の条件から水平変形とせん断力の関係などを求めることができる。この時、曲げせん断棒の断面は変形後も平面を保持すると仮定している。理論の展開は文献1)に詳しいので省略する。最終的に、積層ゴムの水平剛性は次式となる。

(8)

ここで、 P :圧縮荷重, H :ゴム層と中間鋼板の総厚さ(=TR + TS ),TS:全中間鋼板厚
有効せん断剛性 KS と有効曲げ剛性 Kr は、次式で求められる。

(9)

ここで、
I : 断面2次モーメント
 (9)式において、右辺に H / TR が乗じてあるのは、前述したようにゴム層と中間鋼板からなる複合体である積層ゴムの有効剛性に換算するためである。即ち、ゴム層のみのせん断剛性と曲げ剛性である GA / TRErbI / TR と、積層ゴム全体としての有効剛性 (GA)eƒƒ / H 、 (El)eƒƒ / H とを等値することで得られたものである。
 曲げに関する見かけの弾性係数 Er は、単層ゴムが圧縮を受ける場合と同様な手法に基づいて算出されたもので、1次形状係数が大きい場合には、 Er = Ec / 3 となる。単純圧縮載荷であれば、中間鋼板はゴム層の水平方向の変形を拘束するための面内の強度だけが重要となる。(8)式は中間鋼板を剛と仮定しているが、圧縮荷重とせん断変形が大きくなるに従い、中間鋼板に面外変形(更には塑性化)が起こるような場合もある。この場合、水平剛性の面圧依存性は(8)式で予測されるよりも大きくなる。特に、ゴム層厚に比べ中間鋼板が薄く、中心孔を有する場合にはこの傾向は更に顕著となるので注意が必要である。
 (8)式において、圧縮荷重 P が0に近づくとき、となることを考慮すれば、圧縮荷重が0の時の水平剛性 KH0 が次式のように求められる。これはゴム層のせん断剛性だけを考えた式と同じである。

(10)

 (10)式は積層ゴムの水平剛性を評価する上で非常に有効である。ただし、式の適用にあたっては積層ゴムのせん断変形が卓越し、曲げ変形成分が無視できる(2次形状係数が高い)ような形状であることが必要となる。圧縮荷重の変動に対して水平剛性の変動が小さくなる形状を有することが(10)式の適用条件であり、このことは積層ゴムの設計上も肝要である。
 図5には水平剛性 KH を積層ゴム直径で除して基準化した KH/ D と面圧の関係を示す。計算には G =4.5kg/cm2 [0.44MPa]、 Eb =20t/cm2 [1.96GPa]、κ=0.85を用いている。水平剛性は圧縮応力度が大きくなるに従って徐々に小さくなる。水平剛性が0となる圧縮応力度が積層ゴムの座屈荷重(座屈応力度 )であると考えられる。 G =4.5kg/cm2 [0.44MPa], S1 =30, S2 =5程度の積層ゴムの座屈応力度は約600kg/cm2 [59MPa]程度となる。座屈荷重を大きくし、圧縮荷重の変動に対して水平剛性の変動を小さくするためには S1S2 を大きくすることが有効である。
図5 KH/Dと面圧の関係
 積層ゴムの水平剛性と面圧の関係((8)式)は次式で近似できる1)。

(11)

 δcr は積層ゴムの座屈応力度であり次節で示すように積層ゴム形状と材質により規定される。水平剛性の面圧依存性は形状と材質に依存するが、上式より座屈応力度に着目することで、評価できると言える。常時(長期)面圧と地震時(短期)面圧が座屈応力度 δcr に対してどの程度の範囲にあるかに着目することが積層ゴムの健全性の目安になると考えられる。例えば、面圧の変動を座屈応力度に対して0〜0.45倍の範囲内とすれば、水平剛性の変動は−20%以下となる。





BACK 1 / 2 / 3 / 4 / 5 / 6
NEXT



copyright 2004 (c) Fukuoka Univarsary Takayama Mineo All right reserved.